ZSOIL 2023 是功能强大的面向岩土工程专业人员的多用途有限元软件!它基于windows,旨在为用户提供更简单更统一的方法来完成对以前来说非常艰巨的任务和工作流程,经过不断的改进和升级,在岩土工程与结构、有限元、非线性有限元分析、土壤结构相互作用、地下结构等多个方面带来强有力的支持和辅助。对各种典型的工程问题能够更好的完成项目工作,获得更好的项目优化和改进,在分析、数值模拟、结构等方面提供无与伦比的增强,提高用户的工作效率。
目录
ZSoil 2023 新功能
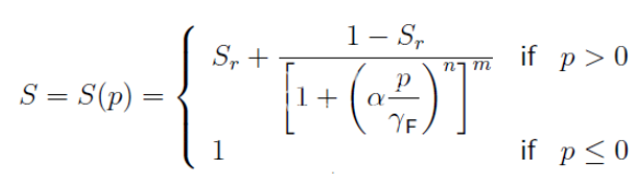
1、van Genuchten土壤保水曲线(SWRC)的完整形式
当前的升级提供了范格努滕定律的完整形式,包括 3 个参数。它以以下形式表示:
m 参数依赖于 n 个数 (m = 1 – 1/n), 并且 n 不再需要像以前版本的 ZSoil(版本 < 2.23)那样固定为值 50。
2、修正毕晓普有效应力原理
目前的升级引入了主教有效应力原理的修改公式。新配方可以控制由此产生的表观内聚力。此外,还引入了比奥系数(仅弹性系数),以使岩石地质材料的数值分析更加逼真。
3、饱和状态分析
使用Virutal Lab中包含的初始状态配置文件工具,允许用户检查控制新配方的初始状态变量的配置文件。它可以从以下方面测试描述材料行为的每个参数的灵敏度:
•总应力(重力分析)
•饱和度(van Genuchten的土壤保水曲线模型)
•有效压力(毕晓普原则),
•过度固结(预固结状态取决于机械本构模型)
•渗透率(部分饱和介质渗透率的伊尔梅或穆阿莱姆模型)
4、减少计算时间
计算模块的显著改进使得模拟的总体计算时间减少10%到30%,具体取决于分析的问题和并行运行的模型数量。
5、预处理
ZSoil 2023 带来了一些旨在改进模型创建的新功能,例如:
•着色线对象
•改进了元素的选择对话框
•模型数据和几何一致性的定制验证
6、ZSslope
新的ZSoil 2023为ZSoil 2D带来了简化的模板,特别提到了用于稳定性分析的边坡快速建模。
ZSoil 2023 v23.54安装教程
1、安装主程序
2、管理员身份运行ittel.exe,版本选择professional,任意输入日期,点击install license
3、安装激活成功,哎就很棒
相关文件下载
ZSoil 2023 v23.54下载
百度网盘:




微信扫一扫打赏
支付宝扫一扫打赏

